College Notes
Home
About
Class Notes
Applied Chemistry
Digital Electronics
Maths (Linear Algebra and Calculus)
Intro. of computer science
Communication and report writing
Maths (Statistics : Probability & Differential Equation)
Applied Physics
Python Programming
Computer workshop (Linux)
Principles of software system
Assignment
Applied Chemistry
Digital Electronics
Maths (Linear Algebra and Calculus)
Intro. of computer science
Communication and report writing
Maths (Statistics : Probability & Differential Equation)
Applied Physics
Python Programming
Computer workshop (Linux)
Principles of software system
Contact
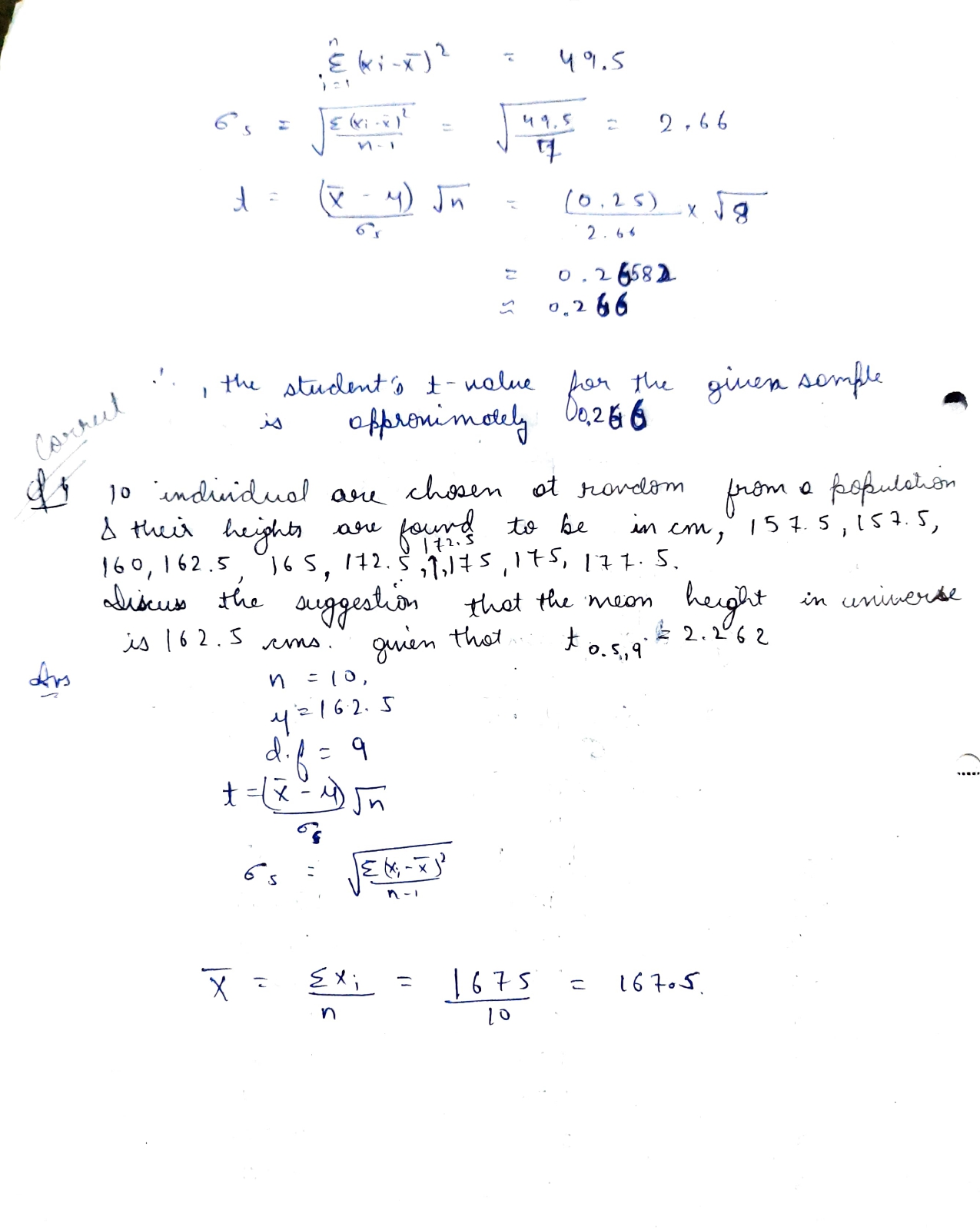
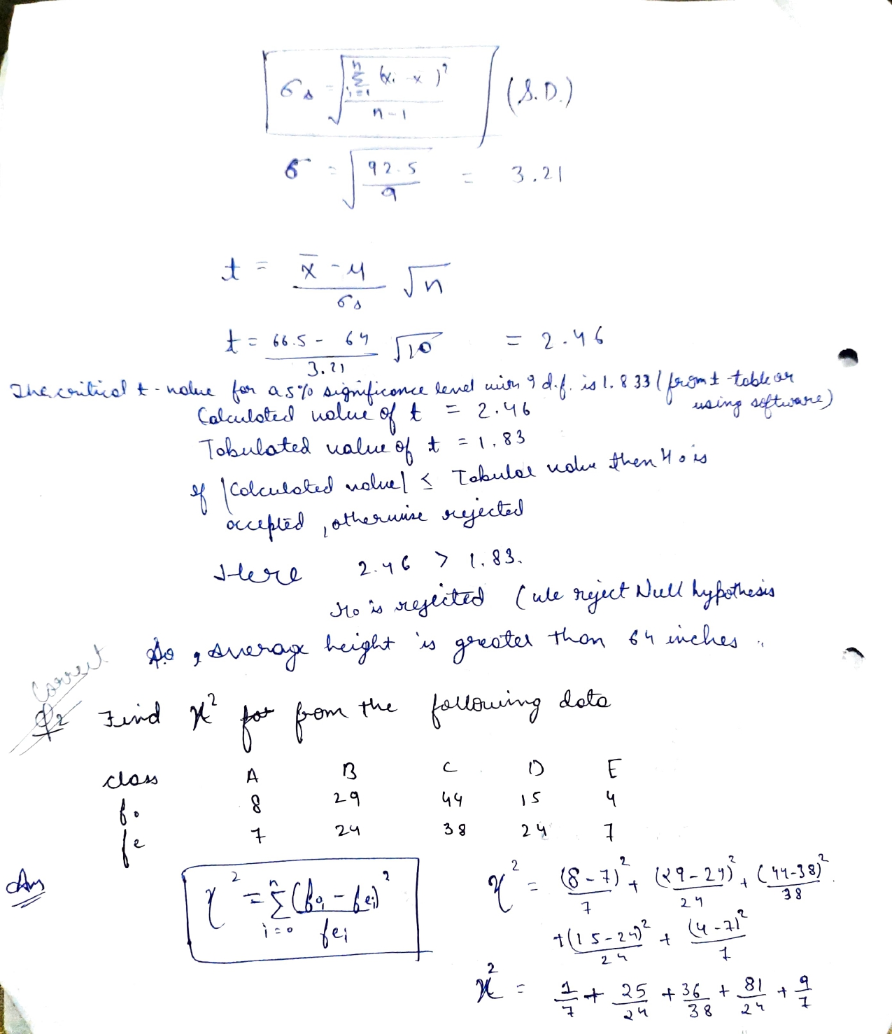
Maths Assignment
Unit - 2
Probability Sampling Distribution
Class Notes
Assignment
Credit - Utkarsh Dikshit (B.tech , 2nd Sem , IT)